درباره اتاق
خدمات الکترونیک
معرفی استان
تشکل ها
فعالین اقتصادی

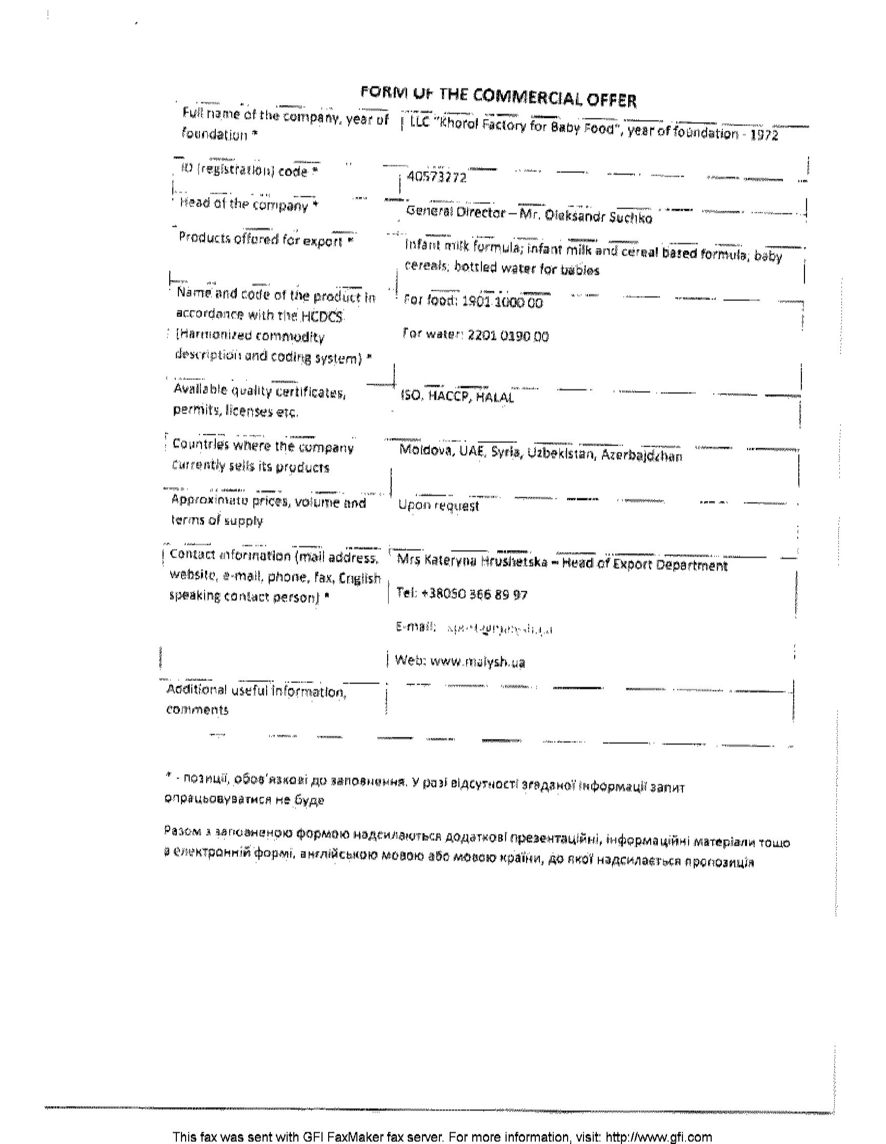
ابراز تمایل شرکت صنایع غذای کودک خوورلسکی اوکراین به همکاری با تجار ایرانی

دسته بندی اطلاعیه / 1398/10/24

ابراز تمایل شرکت صنایع غذای کودک خوورلسکی اوکراین به همکاری با تجار ایرانی

فایل ها


https://www.en.gccim.com/blog/622

ارسال نظر

بالا